e-ISSN: 2319-9849

All submissions of the EM system will be redirected to Online Manuscript Submission System. Authors are requested to submit articles directly to Online Manuscript Submission System of respective journal.

Relationships between Smell, Carbon Number, and Molecular Structure of Acetate Esters

Shoya Inoue*

Department of Chemistry, Waseda Junior and Senior High School, Shinjuku, Japan

*Corresponding Author:
Shoya Inoue
Department of Chemistry, Waseda Junior and Senior High School, Shinjuku, Japan
E-mail: kagaku89daisuki5@gmail.com

Received: 09-Sep-2024, Manuscript No. JCHEM-24- 147711; Editor assigned: 11-Sep-2024, PreQC No. JCHEM-24-147711 (PQ); Reviewed: 25-Sep-2024, QC No. JCHEM-24-147711; Revised: 15-Apr-2025, Manuscript No. JCHEM-24-147711 (R); Published: 22-Apr-2025, DOI: 10.4172/2319-9849.14.1.005

Citation:Citation: Inoue S. Relationships between Smell, Carbon Number, and Molecular Structure of Acetate Esters. RRJ Chemist. 2025;14:005.

Copyright: © 2025 Inoue S. This is an open-access article distributed under the terms of the Creative Commons Attribution License, which permits unrestricted use, distribution, and reproduction in any medium, provided the original author and source are credited.

Visit for more related articles at Research & Reviews: Journal of Chemistry

Abstract

Acetate esters, a group of substances found in natural fragrances and perfumes, are formed by the dehydration-condensation of acetic acid and alcohol and are known to have a variety of good smells. However, the regularity with which these smells change depending on the combination with the raw alcohol is not well understood yet. In order to investigate this, six alcohols with carbon numbers between 2 and 4 and phenol were used to synthesize and classify the smells and the relationship between the smell of acetate esters, carbon number and molecular structure was compared. The results showed that the smell of acetate esters changes with changes in carbon number and with changes in molecular structure. These findings are discussed with respect to molecular polarization and human olfaction mechanisms.

Keywords

Esters; Phenol; Molecules; Condensation; Isomers; Reaction; Ethanol

Introduction

Some of the various organic molecules have great smells. Examples include vanillin, menthol and so on. Among them, acetate esters, which are formed by the dehydration-condensation of acetic acid and alcohols, are known to exhibit a variety of smells [1]. However, there are only two reports on the smell of acetate esters and the carbon number of acetate ester, although the structure is relatively clear. The first article reports on ethyl acetate and butyl acetate, which have the same linear side-chain structure (Figure 1) [2].

jvs-scale
 

Figure 1. Structural formula of acetate esters.

It also describes the different smells of acetate esters. The second report compared the smells of four acetate esters with the same branched structure and 5-8 carbons in the side chain and again suggested that the smells of acetate esters with different carbons were different [3]. However, the discussions in these two reports make no mention of what physical properties change and smell of acetate esters differ as the carbon number of acetate esters changes. In addition, only the comparison of smells of acetate esters with similar molecular structures is carried out and there is no research on acetate esters with the same number of carbons but different molecular conformation (structural isomers).

In order to investigate these issues, this study hypothesized that the smell of acetate esters depends only on their carbon number and that the smell of acetate esters with different structural isomers will be the same. The results of this experiment were used to classify the smells. Using the results of these experiments, the polarity and other physical properties of the synthesized molecules and the human olfactory mechanism, we attempted to discuss the factors responsible for the differences in the smell of acetate esters (Figure 2).

jvs-scale
 

Figure 2. Examples of famous smell molecules.

Materials and Methods

In this study, we concentrated on acetate esters consisting of six alcohols (2-4 carbons), synthesized them by the approach of (Figure 3) smelled them and classified them using expressions [4]. We tried considerations of synthesis conditions first. A total of three patterns were performed with amounts of raw materials: Acetic acid and alcohols of 0.03 mol, 0.05 mol and 0.07 mol. Furthermore, we used a very small amount of concentrated sulfuric acid as a catalyst of these reactions. Consequently, we gained results show that conditions at acetic acid and alcohols of 0.05 mol are most suitable, therefore acetate esters were synthesized using 0.05 mol of acetic acid and alcohol used in the synthesis as the standard in this research. We conducted the synthesis of phenyl acetate as process for reacting acetic anhydride with phenol (Table 1, Figures 3 and 4).

Entry number Alcohol’s quantity Acetic acid’s quantity Overall results
Entry 1 0.03 mol 0.03 mol Little acetate ester produced
Entry 2 0.05 mol 0.05 mol Much acetate ester produced
Entry 3 0.07 mol 0.07 mol A bit ingredient remained

Table 1. The discussions of synthesized conditions.

jvs-scale
 

Figure 3. Synthetic approach to acetate ester in this study.

jvs-scale
 

Figure 4. Representations of smell classification.

Results and Discussion

Firstly, we conducted acetate ester synthesis respectively. As for quantities, take into account the previous description (Method of this study), with 0.05 mol of acetic acid and alcohol. For the ester synthesis reactions, the corresponding acetate ester was obtained for all six alcohols used in the experiments. Here, the boiling points and solubility in water of the six acetate esters synthesized in this study and what they smelled like during the experiment are shown in Figure 5. Also, we denote the number of carbons in the alcohol as n, e.g. Cn. For example, we represent the case of ethanol with two carbons, C2 (Figure 5).

jvs-scale
 

Figure 5. Synthesis with 0.05 mol of acetic acid and alcohol.

Here, there are two trends revealed by these results. First of all, comparing acetate esters with linear structures, In the linear structure, the longer the carbon chain, the lower the water solubility, the higher the boiling point and the more "fruity" the smell tends to be (Figure 6).

jvs-scale
 

Figure 6. Comparing of smells of acetate esters with linear structures.

Then, making compression of smells of acetate esters between structural isomers, we will pick up two features about this. First, esters 2 and 3 with C3 alcohols had quite different smells, whereas 4, 5 and 6 with C4 alcohols had almost identical smells. Secondly, the comparison the boiling point and water solubility of esters 1-3, ester 3 is located around the middle of esters 1 and 2, but it did not have a sweet aroma.

In view of the above, we think that the fact is a key to find the relationship between smells and molecular structure of acetate esters. Specifically, it is suggested that boiling point and water soluble are not the only factors that determine the smell of acetate esters.

Herein, we will indicate the generally known figure of the structure of the olfactory epithelium [5]. Considering human olfactory pathway and this picture described the olfactory epithelium, this mechanism is as follows signals are transmitted when smell molecules first dissolve in the mucus of the nose and subsequently interact with olfactory receptors in the olfactory epithelium (Figure 7) [4,6].

jvs-scale
 

Figure 7. Structure of human olfactory epithelium. (A) Nasal cavity and olfactory bulb; (B) Olfactory epithelium.

Based on this figure, a discussion on the fact that in the linear chain structure of acetate esters, the smell of acetate esters changes to a fruity smell as the carbon chain gets longer.

As an additional experiment to verify the accuracy of this fact, Acetate ester synthesis with a 5-carbon linear alcohol and a similar experiment with a 6-carbon linear alcohol were carried out to verify the smell of acetate esters and the smell of acetate esters of the respective products. The results are shown in Figure 8. In this figure, the results of previous experiments other than the additional experiments are also shown at the same time for comparison.

The results confirmed a similar trend. In this diagram, amyl acetate is designated as ester 7 and hexyl acetate as ester 8. This can be considered using the human olfactory mechanism presented earlier, whereby as the carbon number of the alcohol increases, the water solubility of the ester molecule decreases and the smell changes on account of the decrease in solubility in the first step of the olfactory mechanism-dissolution into the mucous membranes (Figure 8).

jvs-scale
 

Figure 8. The outcomes of additional tries.

In addition, we will talk about the smell of esters between structural isomers. There is a dispensable point concerning the discussion between structural isomers that we would like to mention here: Solubility in nasal mucus is not that different between structural isomers. Therefore, differences in smell are largely dependent on differences in reactivity with olfactory receptors, the second step in the olfactory mechanism, i.e. on differences in the electron-donating capacity of the esters.

The relationship between the key and the key hole. Namely, this is how the second step response is supposed to work.

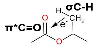
Then, we will demonstrate some approaches to the reason why do esters of different structural isomers smell differently from each other: Highest Occupied Molecular Orbital (HOMO) energy, the charge of the carbon attached to the oxygen in the side chain, spread of occupied orbitals.

Both approaches are due to differences in the magnitude of hyper conjugation caused by changes in the steric structure of the side chain. Here, it is the donation of electrons from the σC-H orbital to the π*C=O orbital (Figure 9).

jvs-scale
 

Figure 9. The imagine of hyper conjugation of acetate esters (ester 2 and ester 3).

Herein, we will indicate the results of the verification of reasons. First, we will show the calculate consequence about comparing ester 2 and ester 3 with Gaussian 16 and General Atomic and Molecular Electronic Structure System (GAMESS) [7]. All the calculation condition is B3LYP/6-31(d). The charge density and HOMO energy are shown in Table 2 below.

Then, we are going to present spread of occupied orbitals, HOMO and HOMO-1~HOMO-4. Seeing these orbitals, ester 3 is a little more spread out in HOMO, ester 3 is considerably more spread out in HOMO-1, HOMO-3, HOMO-4 (Table 2 and Figure 10).

S.no Mulliken (Gaussian) NBO (Gaussian) HOMO energy (GAMESS) HOMO energy (Gaussian)
2 -0.026 -0.113 -0.2695 -0.26616
3 0.112 0.08 -0.2655 -0.2655
Difference 0.138 0.193 0.004 0.0006

Table 2. The charge density and HOMO energy (ester 2 and ester 3).

jvs-scale
 

Figure 10. The imagine of hyper conjugation of acetate esters (ester 2 and ester 3).

Next, we will discuss the calculate outcomes about comparing ester 4, ester 5 and ester 6 with Gaussian 16 and GAMESS as in the previous section [8]. The charge density and HOMO energy are given in Table 3 below. Then, we are going to present spread of occupied orbitals, HOMO and HOMO-1~HOMO-4. Compering these orbitals, the extent of these occupied orbits does not vary much between the three esters. Also, in acetate esters, the presence of a methyl group in the adjacent position of the ester bond can change the phase (Table 3 and Figure 11).

S.no

Mulliken (Gaussian)

NBO (Gaussian)

HOMO energy (GAMESS)

HOMO energy (Gaussian)

4

-0.032

-0.109

-0.2657

-0.2657

5

-0.023

-0.111

-0.2666

-0.2666

6

0.136

0.084

-0.2692

-0.2649

Difference (4,5)

0.009

0.002

0.0009

0.0009

Difference (4,6)

0.168

0.193

0.0035

0.0008

Difference (5,6)

0.159

195

0.0026

0.0017

Table 3. The charge density and HOMO energy (ester 4, ester 5 and ester 6).

jvs-scale
 

Figure 11. Spread of occupied orbitals (ester 4 to 6).

Then, we will indicate what the calculations results show. The results of the extent of occupied orbitals show that the difference between esters 2 and 3 tends to be greater than the differences between esters 4 to 6. On the other hand, the consequences of the electron density analysis and HOMO energy were not necessarily similar to the results of the extent of occupied orbitals. In view of the above, we guessed that factors determining smell of acetate esters are solubility of water and effect of hyper conjugation of side chain. The overall effect of these two factors makes a difference in smells.

Conclusion

The smell of low molecular weight acetate esters was found to have a certain relationship to both carbon number and molecular structure. The change in smell of acetate esters could be explained by the combined action of two factors: The 'solubility in water' and the 'effect of hyper conjugation of side chains'. However, consideration of the super-conjugation part is still insufficient and there is a great possibility that factors other than super-conjugation may be involved. In the future, we intend to investigate the effects of hyper conjugation in more detail in terms from bond lengths and NMR spectra and report back. A similar investigation of acetate esters formed from alcohols with a carbon number of five or more is currently underway and will be reported.

References